ข้อสอบหลังเรียนโรงเรียนช่างการไฟฟ้าส่วนภูมิภาค หลักสูตร 3 ปี คณิตศาสตร์ ปรับพื้นฐาน 2568

จำนวนผู้เข้าชม: 23
QUIZ START

#1. ข้อใดต่อไปนี้ถูกต้อง

#2. ปริมาตรทรงกลมที่บรรจุในกรวยดังรูป มีค่ากี่ลูกบาศก์หน่วย

#3. จากรูป AB เป็นเส้นผ่านศูนย์กลางของวงกลม ถ้ามุม AXY เท่ากับ 20 องศา แล้วมุม BCY จะกางกี่องศา
#4. ถ้า sin(A + B) = sin A cos B + cos A sin B แล้ว cos 15 องศา มีค่าเท่าใด
#5. ถ้า a + b – ab = 1 และ a ไม่เป็นจำนวนเต็ม แล้วข้อใดต่อไปนี้ถูกต้อง
#6. ค่าใช้จ่ายในการขนส่งสินค้าจากกรุงเทพไปเชียงใหม่แปรผันตามเวลาการเดินทางและแปรผกผัน กับอัตราเร็วของรถยนต์ ถ้าใช้อัตราเร็ว 60 กิโลเมตรต่อชั่วโมง จะเสียค่าใช้จ่าย 6000 บาท ถ้าใช้อัตราเร็ว 75 กิโลมตรต่อชั่วโมง จะเสียค่าใช้จ่ายกี่บาท
#7. ถ้าข้าพเจ้าเดินทางจากบ้านไปสถานีรถไฟฟ้าด้วยความเร็วชั่วโมงละ 4 กิโลเมตร จะถึงสถานีช้า ไป 1 นาที แต่ถ้าวิ่งด้วยความเร็วชั่วโมงละ 9 กิโลเมตร จะถึงสถานีเร็วไป 3 นาที บ้านอยู่ห่างจากสถานีรถไฟกี่เมตร?
#8. สนามหญ้าแห่งหนึ่งมีหญ้างอกสม่ำสมอ ถ้าเลี้ยงวัว 20 ตัว หญ้าจะหมดในเวลา 40 วัน ถ้าเลี้ยงวัว 30 ตัว กินหญ้าจะหมดในเวลา 21 วัน ถ้าต้องการให้หญ้าหมดภายใน 20 วัน จะต้องใช้วัวกี่ตัว?
#9. ตรงกับข้อใดต่อไปนี้

#10. ถ้าจำนวนนักเรียนที่สมัครเข้าชมรมดนตรีมีจำนวน 33 คนแล้ว จำนวนนักเรียนที่สมัครเข้าชมรมวิทยาศาสตร์ มีกี่คน?
#11. จำนวนเต็มบวก 3 จำนวนเรียงกันผลคูณของจำนวนแรกกับจำนวนที่สามเท่ากับ 35 ผลคูณของจำนวนแรกกับจำนวนกลางเท่ากับเท่าไร?
#12. กำลังสองของจำนวนเต็มลบจำนวนหนึ่งมากกว่ากำลังสองของจำนวนเต็มบวกอยู่ 12 ผลต่างของจำนวนทั้งสองเท่ากับ 6 อยากทราบว่าผลคูณของจำนวนทั้งสอง เท่ากับเท่าใด?
#13. สุ่มหยิบฉลาก 1 ใบ จากสลาก 50 ใบ ในกล่องทึบใบหนึ่งที่เขียนเลข 1, 2. 3 .. ,50 หมายเลขละ 1 ใบ จำนวนผลลัพธ์ที่จะหยิบได้สลากที่มีหมายเลขที่หารด้วย 2 และ 3 ลงตัวมีค่าเท่าใด?

#14. ค่าเฉลี่ยเลขคณิตของคะแนนสอบของนักเรียน 20 คนนี้มีค่าเท่าใด?

#15. ข้อใดสรุปได้ถูกต้อง

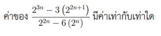
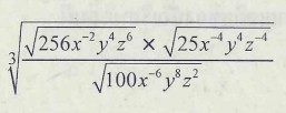
#16. มีค่าเท่ากับเท่าใด
#17. ร้านขายไข่แห่งหนึ่งมีไข่ไก่สำหรับจำหน่าย 3 ขนาด อัตราส่วนของจำนวนไขไก่ เบอร์ศูนย์ : เบอร์หนึ่ง เป็น 4 : 7 และ เบอร์ศูนย์ : เบอร์สอง เป็น 3 : 5 โดยมีจำนวนไข่ไก่ทั้ง 3 ขนาดรวมกันจำนวน 424 ฟอง ร้านขายไข่แห่งนี้มีจำนวนไข่ไก่เบอร์สองมากกว่าจำนวนไข่ไก่เบอร์ศูนย์ก็ฟอง?

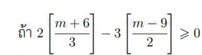
#18. ค่าของ m ที่ไม่สอดคล้องกับสมการคือข้อใด?
#19. กำหนดให้ข้อมูลเรียงลำดับจากน้อยไปหามาก คือ 2, 4, 4, 5. 5, m, 8, 8, 10 มีฐานนิยมค่าเดียว และมีมัธยฐานน้อยกว่าฐานนิยม อยากทราบว่าข้อมูลมีค่าเฉลี่ยเลขคณิตเป็นเท่าใด?
#20. กำหนดให้สามเหลี่ยม ABC มีมุม C = 90 องศา และ 5sin A = 4 แล้ว จงหาค่าของ tan(B) + cot(A) มีค่าตรงกับข้อใด?
#21. จะไปตลาดซื้อสัมมา 30 บาท วันต่อมาไปซื้อใหม่อีก 30 บาท ปรากฎว่าส้มลดราคาลง 20% ทำให้ซื้อส้มได้เพิ่มขึ้นกว่าครั้งแรก 5 ผล อยากทราบว่าส้มราคาผลละเท่าไร?
#22. จำนวนในข้อใดต่อไปนี้มีค่ามากที่สุด?
#23. ฟาร์มแห่งหนึ่งมีหมู และไก่ รวมกัน 40 ตัว เมื่อนับขาของหมูและไก่รวมกันได้ 110 ขา ข้อใดต่อ ไปนี้กล่าวถูกต้อง?

#24. จากรูป กำหนดให้สีเหลียมจัตุรัสมีความยาวด้านละ 7 เชนติเมตร จงหาว่าส่วนที่แรเงาจะมีพื้นที่ เท่ากับข้อใด?

#25. จากรูปกำหนดให้ AB||CD จงหาว่า m – n มีค่าตรงกับข้อใด?
#26. แก้วน้ำทรงกระบอกใบหนึ่งมีเส้นผ่านศูนย์กลาง 2 นิ้ว สูง 2 นิ้ว ใส่น้ำไว้ครึ่งแก้ว ถ้าใส่ลูกแก้วทรงกลมลงไปหนึ่งลูก จะทำให้ระดับสูงขึ้น 1/6 นิ้ว อยากทราบว่าเส้นผ่านศูนย์กลางของลูกแก้วเท่ากับกี่นิ้ว?
#27. ชาย 2 คนเด็ก 3 คน ทำงานอย่างหนึ่งเสร็จภายใน 16 วัน ชาย 5 คน เด็ก 6 คน ทำงานอย่างเดียวกันเสร็จภายใน 7 วัน ชาย 4 คน เด็ก 8 คน จะทำงานนั้นเสร็จภายในกี่วัน?
#28. คะแนนสะสมของนักเรียน 10 คน มีค่าเฉลี่ยเท่ากับ 25 คะแนน ภายหลังครูพบว่าบันทึกคะแนนของนักเรียนผิดหนึ่งคน จาก 13 คะแนน บันทึกผิดเป็น 15 คะแนน คะแนนเฉลี่ยที่ถูกต้องเท่ากับข้อใด?

#29. ตรงกับข้อใด?
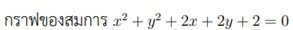
#30. ข้อใดข้อใดต่อไปนี้ไม่ถูกต้อง?
#31. ตรงกับข้อใด?
#32. มีค่าเท่าไร?

#33. กำหนดให้ ABCD เป็นรูปสี่เหลี่ยมจัตุรัส และมุม DAF=BAE ข้อใดต่อไปนี้สรุปได้ถูกต้อง?

#34. กำหนดให้ มุม BAE=BDC, AEB=DCB=DCB และ AE=DC ข้อใดต่อไปนี้สรุปได้ถูกต้อง?

#35. จากรูปวงกลมรัศมี 1 หน่วย 2 วงสัมผัสกัน และสัมผัสกับสี่เหลี่ยมจัตุรัส สี่เหลี่ยมจัตุรัสมีพื้นที่กี่ตารางหน่วย?

#36. มีค่าเท่าใด?
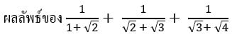
#37. มีค่าตรงกับข้อใด?

#38. ข้อใดถูก?
#39. ถ้าต้องการรวมเงินให้ได้ 100 บาท โดยใช้เงิน 10 บาท เหรียญ 5 บาทและเหรียญ 1 บาท ครบ ทั้งสามชนิด จะได้ทั้งหมดกี่วิธี?
#40. ห.ร.ม. ของ 5⁴ x 7⁸ x 8¹² x 6⁴ และ 4² x 5¹⁰ x 6³ x 7¹⁰ x 8⁶ คือข้อใด
#41. ในกล่องใบหนึ่งมีสลาก 6 ใบ เขียนหมายเลข 1 ถึง 6 ใบละหนึ่งหมายเลข หยิบสลากมา 2 ใบ โดยหยิบทีละใบ และก่อนหยิบใบที่สองให้ใส่สลากใบที่หนึ่งกลับใส่กล่องก่อน จงหาความน่าจะเป็นที่จะได้ผลบวกของหมายเลขในสลากมีค่ามากกว่า 9
#42. ครั้งแรกราคานํ้ามันขึ้น 20% ครั้งที่สองขึ้นอีก 10% ครั้งที่สามลดลง 15% อยากทราบว่าราคานํ้ามันเพิ่มขึ้นจากเดิมเท่าใด
#43. ถ้าจำนวน 2 จำนวน มี ห.ร.ม. คือ x – 7 และ ค.ร.น. คือ x³ – 10x² + 11x + 70 ถ้าจำนวนหนึ่งคือ x² – 5x – 14 แล้วอีกจำนวนหนึ่งตรงกับข้อใด
#44. กำหนดให้ x³ + 3x² + 5x + 6 = (x+a)(x²+bx+c) เมื่อ a, b, และ c เป็นจำนวนจริง แล้ว a² + b² + c² มีค่าเท่าใด

#45. จงหาค่าของสมการตรงกับข้อใด
#46. แก้วนํ้าทรงกระบอกใบหนึ่ง มีเส้นผ่านศูนย์กลาง 12 เซนติเมตร สูง 20 เซนติเมตร ในแก้วมีนํ้า 3/5 ของแก้ว ถ้าใส่วัตถุทรงกลมลูกหนึ่งลงไปในแก้วทำให้นํ้าเต็มแก้วพอดีแล้ว ทรงกลมดังกล่าวมีพื้นที่ผิวเท่าใด
#47. ABCD เป็นรูปสี่เหลี่ยมจัตุรัส มีด้านยาว 4x + 1 หน่วย ถ้าตัดมุมแต่ละมุมเป็นรูปสี่เหลี่ยมผืนผ้ากว้าง x – 1 หน่วย และยาว x + 2 หน่วย จะเหลือพื้นที่กี่ตารางหน่วย
#48. ผลบวกของ 111₂ + 111₃ + 111₄ มีค่าตรงกับข้อใด
#49. ถ้า A เป็นจุดยอดของพาราโบลา y = x² – 2x – 3 และให้จุด B และจุด C ตัดแกน x จงหาระยะจาก A ไปยังจุดกึ่งกลาง BC

#50. จงหาค่า z จากสมการที่กำหนดให้

#51. ค่าของ (sinA – cosecA)² + (cosA + SecA)² – (tanA – cotA)² มีค่าเท่ากับเท่าใด?

#52. จงหาค่าของสมการตรงกับข้อใด
#53. ถ้า (a³ + b³)/(a + b) = 40 และ ab = 5 แล้ว (a – b)² ตรงกับข้อใด

#54. ข้อใดถูกต้อง
#55. อสมการ 3x + 8 < 4x – 35 สมมูลกับอสมการข้อใด

#56. จงหาค่า x และ y ตามลำดับ

#57. จงหาค่า x

#58. จากรูปเส้นตรง CA = CD จงหา มุม BAC

#59. จากรูป จงหา a + b
#60. ถ้า y เท่ากับผลบวกของเลขสองจำนวน โดยจำนวนหนึ่งแปรผันโดยตรงกับ x และอีกจำนวนหนึ่งแปรผกผันกับ x ข้อใดที่แสดงความสัมพันธ์ระหว่าง x และ y
#61. ในโหลใบหนึ่งมีลูกแก้วสีขาว 3 ลูก สีฟ้า 7 ลูก และสีเหลือง 2 ลูก จงหาจานวนวิธีที่จะหยิบลูกแก้ว 4 ลูก แล้วได้สีขาว 2 ลูก สีฟ้าและสีเหลืองอย่างละ 1 ลูก
#62. ข้อความต่อไปนี้ ข้อใดไม่ถูกต้อง?
#63. คุณสมบัติของสามเหลี่ยมสองรูปข้อใดที่สรุปว่าเป็นรูปสามเหลี่ยมที่คล้ายกัน
#64. ในการโยนเหรียญบาท 4 เหรียญ พร้อมกัน 1 ครั้ง จงหาความน่าจะเป็นที่จะออกหัว 3 เหรียญ
#65. ที่ดินแปลงหนึ่งเป็นรูปสี่เหลี่ยมผืนผ้า มีพื้นที่ 1 ไร่ 2 งาน 30 ตารางวา และกว้าง 30 เมตร อยากทราบว่ายาวกี่เมตร
#66. สมการเชิงเส้นสองตัวแปรคู่ใด มีกราฟเป็นเส้นตรงที่ขนานกัน
#67. สนามฟุตบอลรูปสี่เหลี่ยมผืนผ้ากว้าง 34 วา ยาว 68 วา ผู้รับเหมาตัดหญ้าคิดค่าตัดหญ้าตารางเมตรละ 0.75 บาท จะต้อง เสียค่าตัดหญ้าเป็นเงินเท่าไร
#68. ถ้ายืนอยู่บนดาดฟ้าแห่งหนึ่ง แล้วมองดูตึกที่อยู่ห่างออกไป 50 เมตร จะเห็นฐานตึกเป็นมุมก้ม 60 องศา และเห็นยอดตึกเป็นมุมเงย 45 องศา ตึกหลังนี้จะมีความสูงประมาณเท่าใด?
#69. มีนํ้าเกลืออยู่ 2 ชนิด ชนิด A มีเกลืออยู่ 15% ชนิดB มีเกลืออยู่ 25% ถ้าต้องการนำนํ้าเกลือทั้งสองชนิดมาผสมกันให้ได้ นํ้าเกลือผสม 40 ลิตร และมีเกลือ 18% อยากทราบว่าต้องใช้นํ้าเกลือชนิด A และชนิด B อย่างละเท่าใด
#70. ปัจจุบันพ่อมีอายุเป็น 4 เท่าของลูก เมื่อ 5 ปีที่แล้วพ่อมีอายุเป็น 9 เท่าของลูกในเวลานั้น อยากทราบว่าอีก 10 ปี ข้างหน้าลูกจะมีอายุกี่ปี

#71. โรงเรียนต้องการทำสวนมุมตึกดังรูป โดยส่วนที่เป็นรูปครึ่งวงกลมละปูหญ้าและมีพื้นที่ (13/8)𝝅 ตารางเมตร ส่วนที่เป็นรูปสามเหลี่ยมมุมฉากคือมุมตึก จะลงหินกรวด ถ้าหินกรวด 1 ถุง ราคา 60 บาท ปูได้ 1 ตารางเมตร แล้วต้องใช้เงินซื้อหินกรวดทั้งหมดกี่บาท?

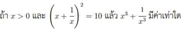
#72. มีค่าเท่าใด?
#73. ถ้า m เป็นค่ามากที่สุดของ x ที่เป็นจำนวนเต็มจากอสมการ (x+10)/4 < 6 - 5x และ n เป็นค่าน้อยที่สุดของ y ที่เป็นจำนวนเต็มจากอสมการ 4(3y-1) < 6 + 14y แล้ว m+n มีค่าเท่ากับข้อใด?
#74. วินยืนอยู่บนระนาบเดียวกันกับเสาธงมองไปยังยอดเสาธงเป็นมุมเงย 30 องศา จากนั้นเดินตรงเข้าไปหาเสาธงเป็นระยะทาง 280 เมตร ณ ตำแหน่งนั้น เมื่อมองไปยังยอดเสาธงอีกครั้งจะเป็นมุมเงย 60 องศา ถ้าเสาธงต้นนี้สูงกว่าระดับสายตาของวิน √a เมตร แล้วจงหา a/100 ?
#75. ซื้อเงาะชนิดที่ 1 ราคากิโลกรัมละ 2.50 บาท ชนิดที่ 2 กิโลกรัมละ 3 บาท ผสมกันแล้วขายไปกิโลกรัมละ 6.00 บาท ถ้าผสมในอัตราส่วนเท่าๆ กัน แล้วขายให้ได้กําไร 325 บาท ต้องซื้อเงาะชนิดแรกมากี่กิโลกรัม?
#76. เหล้าไทยยี่ห้อหนึ่ง จํานวน 10 ลิตร มีเหล้าแท้ 40% ที่เหลือเป็นน้ําถ้าเติมน้ําลงไปอีก 6 ลิตร เหล้าที่ผสมใหม่ จะมีเหล้าแท้อยู่ร้อยละเท่าไร?
#77. จำนวนจริง 100 จำนวน มีค่าเฉลี่ยเลขคณิตเท่ากับ 80 ถ้าสุ่มจำนวนเหล่านี้มา 10 จำนวน พบว่าค่าเฉลี่ยเลขคณิตเท่ากับ 75.5 แล้วค่าเฉลี่ยเลขคณิตของจำนวนที่เหลือ 90 จำนวน เท่ากับข้อใดต่อไปนี้?
#78. ปัจจุบันปู่มีอายุเป็น 4 เท่าของหลาน และอีก 10 ปีข้างหน้า ปู่มีอายุมากกว่าหลานเป็น 2 เท่าของอายุหลาน อีก 2 ปี ข้างหน้าปู่จะมีอายุกี่ปี?
#79. โยนลูกเต๋า 1 ลูก 2 ครั้ง จำนวนสมาชิกของเหตุการณ์ที่ผลรวมของแต้มหารด้วย 4 ลงตัว และลูกเต๋ามีแต้มเป็นจำนวนเฉพาะอย่างน้อย 1 ลูกเท่ากับข้อใด?
#80. กำหนดให้ a, b เป็นเลขโดด ถ้า 224 = 3a0₈ และ 5b9 = 1442₇ แล้วผลบวกของ a และ b ตรงกับกับข้อใด?
Previous
จบคำถาม




