บจก. เอ็นจิเนียร์ ติวเตอร์
083-812-1905
Line ID: golfae1

ข้อสอบบรรจุเข้าทำงานการไฟฟ้านครหลวง ตำแหน่งวิศวกรไฟฟ้า วิชาความรู้เฉพาะตำแหน่ง ชุดที่ 8

Quiz Onlines by Engineer Tutor

ข้อสอบบรรจุเข้าทำงานการไฟฟ้านครหลวง ตำแหน่งวิศวกรไฟฟ้า วิชาความรู้เฉพาะตำแหน่ง ชุดที่ 8

 

Results

#1. ในระบบ Symmetrical component ข้อใดถูกต้อง

Previous
ข้อต่อไป

#2. จงหาค่า positive sequence เฟส C เมื่อกำหนดให้ I¹ₐ = 5.78∠ – 30° A

Previous
ข้อต่อไป

#3. จงหาค่า positive sequence เฟส b เมื่อกำหนดให้ I¹ₐ = 5.78∠ – 30° A

Previous
ข้อต่อไป

#4. จงหาค่า negative sequence เฟส b เมื่อกำหนดให้ I¹ₐ = 5.78∠ – 30° A

Previous
ข้อต่อไป

#5. กระแสลัดวงจรเป็นมาจากกระแสส่วนใด

Previous
ข้อต่อไป

#6. กระแสลัดวงจรอยู่ตัว (Steady state) ตามนิยามของมาตรฐานการคำนวณกระแสลัดวงจร IEC 60909 หมายถึงอะไร

Previous
ข้อต่อไป

#7. กระแสลัดวงจรสมมาตรเริ่มต้นตามนิยามของมาตรฐานการคำนวณกระแสลัดวงจร IEC 60909 หมายถึงอะไร

Previous
ข้อต่อไป

#8. กระแสลัดวงจรค่ายอด (Peak) ตามนิยามของมาตรฐานการคำนวณกระแสลัดวงจร IEC 60909 หมายถึงอะไร

Previous
ข้อต่อไป

#9. กระแสตัดวงจรแบบสมมาตรตามนิยามของมาตรฐานการคำนวณกระแสลัดวงจร IEC 60909 หมายถึงอะไร

Previous
ข้อต่อไป

#10. เมื่อเกิดกระแสลัดวงจรขึ้นในระบบไฟฟ้าจะเกิดความเครียดอะไรขึ้น

Previous
ข้อต่อไป

#11. หม้อแปลง 3 phase 1,000 kVA 24kV/230-400V,Impedance Voltage 6%, ต้องใส่ Circuit Breaker ที่มีขนาด IC(Interrupting Capacity) ไม่น้อยกว่าเท่าใด (เลือกข้อที่ถูกต้องมากที่สุด)

Previous
ข้อต่อไป

#12. ระบบจ่ายไฟฟ้าขนาดแรงดัน 500 kV ความยาว 250 Km มีความเหนี่ยวนำของสาย (line inductance) เท่ากับ 1 mH/km/phase และมีค่าความจุไฟฟ้า (line capacitance) เท่ากับ 0.01×10⁻⁶ F/km/phase สมมุติว่าสายส่งไม่มีความสูญเสีย (lossless line) จงคำนวณหาค่า Surge Impedance Loading (SIL)

Previous
ข้อต่อไป

#13. การไฟฟ้าต้นทางได้กำหนดกระแสลัดวงจร ณ จุดที่สร้างสถานีไฟฟ้าย่อยระบบ 115KV เป็น 100MVA จงหาว่าค่าอิมพีแดนซ์ต้นทางทั้งหมดมีค่ากี่โอห์ม

Previous
ข้อต่อไป

#14. การผิดพร่อง(Fault)ในลักษณะใดถือเป็นแบบ Symmetrical fault

Previous
ข้อต่อไป

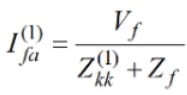
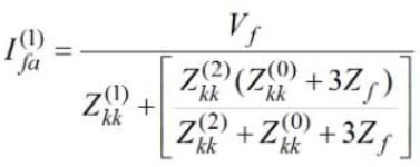
#15. ข้อใดแสดงสูตรการคำนวณกระแสลัดวงจร 3 เฟส (three-phase fault) ในรูปวงจรลำดับ(sequence ne twork) ได้ถูกต้อง

Previous
จบคำถาม

 

Leave a Reply

Your email address will not be published. Required fields are marked *