บจก. เอ็นจิเนียร์ ติวเตอร์
083-812-1905
Line ID: golfae1

ข้อสอบโรงเรียนจ่าทหารอากาศ วิชาคณิตศาสตร์ ชุดที่ 13

Quiz Onlines by Engineer Tutor

ข้อสอบโรงเรียนจ่าทหารอากาศ วิชาคณิตศาสตร์ ชุดที่ 13

 

Results

#1. ถ้า f(x + 3) = 3x – 2 แล้ว f(-1) + f⁻¹(4) มีค่าตรงกับข้อใด

Previous
ข้อต่อไป

#2. นิเสธของประพจน์ ~ p → (q V r) คือข้อใดต่อไปนี้

Previous
ข้อต่อไป

#3. ข้อใดต่อไปนี้คือสมการเส้นตรงที่ผ่านจุดโฟกัสของพาราโบลา y = 1/4 x² และจุดศูนย์กลางของวงกลม x² + y² + 2x – 4y – 11 = 0

Previous
ข้อต่อไป

#4. ถ้ากำหนดให้ θ เป็นจำนวนจริงใดๆแล้ว cos⁴ θ + sin² θ มีค่าเท่ากับข้อใด

Previous
ข้อต่อไป

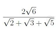
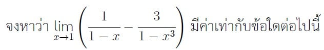
#5. มีค่าตรงกับข้อใด

Previous
ข้อต่อไป

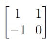
#6. ข้อใดถูกต้อง

Previous
ข้อต่อไป

#7. เซตคำตอบของอสมการ lx – 1l + lx + 2l < 5 คือข้อใดต่อไปนี้

Previous
ข้อต่อไป

#8. โยนเหรียญ 5 เหรียญ 1 ครั้ง จงหาความน่าจะเป็นที่เหรียญจะขึ้น 2 หัว และ 3 ก้อย

Previous
ข้อต่อไป

#9. ระยะทางที่สั้นที่สุดระหว่างพาราโบลา y = 4x²+2 และ y = -3x²-4 เท่ากับข้อใด

Previous
ข้อต่อไป

#10. จงหาค่าของ log 35 + log 6 – log 7 + log 10 – log 3 มีค่าเท่ากับข้อใดต่อไป นี้

Previous
ข้อต่อไป

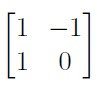
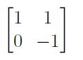
#11. ข้อใดถูกต้อง

Previous
ข้อต่อไป

#12. ในถุงใบหนึ่งมีถุงเท้าอยู่ 6 คู่ หยิบอย่างสุ่มขึ้นมา 4 ข้าง จงหาความน่าจะเป็นของเหตุการณ์ที่จะได้ถุงเท้าทั้ง 4 ข้าง ไม่เป็นคู่เดียวกันเลยมีค่าเท่ากับข้อใดต่อไปนี้

Previous
ข้อต่อไป

#13. คะแนนสอบวิชาคณิตศาสตร์ของนักเรียนกลุ่มหนึ่ง มีค่าเฉลี่ยเลขคณิตเท่ากับ 75 คะแนน และความแปรปรวนเท่ากับ 25 คะแนน นักเรียนที่ได้เกรด A จะต้องมีคะแนนมาตราฐานสูงกว่า 3.0 ถ้าคะแนนของสมปองเป็นจำนวนเต็มและได้เกรด A แล้ว คะแนนที่เป็นไปได้ของสมปองคือข้อใดต่อไปนี้(เมื่อกำหนดให้คะแนนเต็มเท่ากับ 100 คะแนน)

Previous
ข้อต่อไป

#14. ถ้า f(x) = 3x – 7 /x + 1 และ g(x) เป็นฟังก์ชันอินเวอร์สของ f(x) แล้ว g(2) มีค่าเท่ากับข้อใดต่อไปนี้

Previous
ข้อต่อไป

#15. จงหาค่าของเท่ากับข้อใดต่อไปนี้

Previous
จบคำถาม

 

Leave a Reply

Your email address will not be published. Required fields are marked *