ข้อสอบโรงเรียนนายร้อยตำรวจ วิชาคณิตศาสตร์ ชุดที่ 10

จำนวนผู้เข้าชม: 67

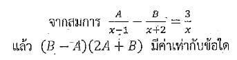
#1. ข้อใดถูกต้อง
Previous
ข้อต่อไป

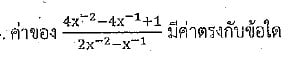
#2. ข้อใดถูกต้อง
Previous
ข้อต่อไป
#3. จงพิจารณาเหตุต่อไปนี้
1. ถ้าสามีไปทำงานแล้วภรรยาอยู่บ้าน
2. ถ้าภรรยาอยู่บ้านแล้วลูกไปโรงเรียน
ข้อสรุปใดต่อไปนี้สมเหตุสมผล
Previous
ข้อต่อไป
#4. ข้อความที่สมมูลกับแดงหรือดำเป็นนักเรียน และแดงหรือ ขาวเป็นนักเรียน ตรงกับข้อใด
Previous
ข้อต่อไป
#5. ถ้า [p → q∧~ r] ∧s → (p ∧ q) มีค่าความจริงเป็นเท็จ แล้วประพจน์ใดมีค่าความจริงเป็นเท็จ
Previous
ข้อต่อไป

#6. ข้อใดถูกต้อง
Previous
ข้อต่อไป
#7. ผลบวกของเซตคำตอบของ √x+7- √8- 2x= 1 มีค่าตรงกับข้อใด
Previous
ข้อต่อไป

#8. ข้อใดถูกต้อง
Previous
ข้อต่อไป

#9. ข้อใดถูกต้อง
Previous
ข้อต่อไป

#10. ข้อใดถูกต้อง
Previous
จบคำถาม