บจก. เอ็นจิเนียร์ ติวเตอร์
083-812-1905
Line ID: golfae1

ข้อสอบโรงเรียนนายร้อยตำรวจ วิชาคณิตศาสตร์ ชุดที่ 21

Quiz Onlines by Engineer Tutor

ข้อสอบโรงเรียนนายร้อยตำรวจ วิชาคณิตศาสตร์ ชุดที่ 21

 

Results

#1. กำหนด A = {x l x เป็นรูปสี่เหลี่ยมที่มีเส้นทแยงมุมตั้งฉากซึ่งกันและกัน} ค่าของ n(A) ตรงกับข้อใด

Previous
ข้อต่อไป

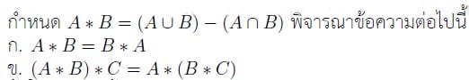
#2. ข้อใดถูกต้อง

Previous
ข้อต่อไป

#3. ข้อใดมีคุณสมบัติสลับที่ของการบวก

Previous
ข้อต่อไป

#4. กำลังสองของ √3 – √2 + 1 มีค่าเท่าใด

Previous
ข้อต่อไป

#5. 5.1 + 5.2 + 5.3 + 5.4 + 5.5 + 5.6 + 5.7 + 5.8 + 5.9 มีค่าเท่าใด

Previous
ข้อต่อไป

#6. -2 ≤ x ≤ 1 เป็นคำตอบของอสมการในข้อใด

Previous
ข้อต่อไป

#7. ให้ x³ + 2x² – 3x = 0 แล้วผลบวกของ x เป็นเท่าใด

Previous
ข้อต่อไป

#8. ประโยคใดมีค่าความจริงเป็นจริง

Previous
ข้อต่อไป

#9. กำหนดให้
p : จำนวนตรรกยะ x จำนวนตรรกยะ = จำนวนตรรกยะ
q : จำนวนตรรกยะ x จำนวนอตรรกยะ = จำนวนอตรรกยะ
r : จำนวนอตรรกยะ x จำนวนอตรรกยะ = จำนวนอตรรกยะ
ข้อใดมีค่าความจริงเป็นจริ

Previous
ข้อต่อไป

#10. ประโยค (p → q) ↔~ p ^ q จะมีค่าความจริงเป็นจริงเมื่อใด

Previous
จบคำถาม

 

Leave a Reply

Your email address will not be published. Required fields are marked *