ข้อสอบ PAT1 ความถนัดทางคณิตศาสตร์ ชุดที่ 5

จำนวนผู้เข้าชม: 99
#1. กำหนดให้ ABC เป็นรูปสามเหลี่ยมใดๆ ถ้า a, b และ c เป็นความยาวด้านของด้านตรงข้ามมุม A มุม B และ มุม C ตามลำดับ โดยที่ 1/a+c +1/b+c = 3/a+b+c แล้ว sin C เท่ากับข้อใดต่อไปนี้
Previous
ข้อต่อไป

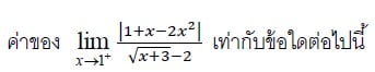
#2. ข้อใดถูกต้อง
Previous
ข้อต่อไป

#3. ข้อใดถูกต้อง
Previous
ข้อต่อไป
#4. กำหนดให้ f(x) = x³ – 26x² + bx – 216 เมื่อ 6 เป็นจำนวนจริง ถ้า a₁, a₂, a₃ เป็นจำนวนจริงสามจำนวนเรียงกันแบบลำดับเรขาคณิต และเป็นคำตอบของสมการ f (x) = 0 แล้ว ค่าของ f’ (1) เท่ากับข้อใดต่อไปนี้
Previous
ข้อต่อไป

#5. ข้อใดถูกต้อง
Previous
ข้อต่อไป

#6. ข้อใดถูกต้อง
Previous
ข้อต่อไป
#7. ในการทอดลูกเต๋าสองลูกพร้อมกัน ความน่าจะเป็นที่หน้าลูกเต๋าลูกหนึ่งขึ้นแต้ม a และหน้าลูกเต๋าอีกลูกหนึ่งขึ้นแต้ม b โดยที่ 1/a + 1/b = 1/2 เท่ากับข้อใดต่อไปนี้
Previous
ข้อต่อไป

#8. ข้อใดต่อไปนี้ถูกต้อง
Previous
ข้อต่อไป

#9. ข้อใดต่อไปนี้ถูกต้อง
Previous
ข้อต่อไป

#10. ข้อใดต่อไปนี้สรุปได้ถูกต้อง
Previous
ข้อต่อไป
#11. กำหนดให้ U เป็นเอกภพสัมพัทธ์และให้ A และ B เป็นสับเซตของ U ถ้า 200 ของสมาชิกในเซต A เป็นสมาชิกในเซต B 25% ของสมาชิกในเซต B เป็นสมาชิกในเซต A และ จำนวนสมาชิกของเซต (A – B) U (B – A) เท่ากับ 112 แล้ว จำนวนสมาชิกของเซต A U B เท่ากับเท่าใด
Previous
ข้อต่อไป

#12. ข้อใดถูกต้อง
Previous
ข้อต่อไป
#13. ค่าของ sec² (2 arctan 1/3 + arctan 1/7) เท่ากับเท่าใด
Previous
ข้อต่อไป
#14. ให้ θ เป็นจำนวนจริงใดๆ ถ้า a และเป็นค่ามากสุดของ cos⁴ θ – sin⁴ θ และ 3 sin θ + 4 cos θ ตามลำดับ แล้ว a + b เท่ากับเท่าใด
Previous
ข้อต่อไป

#15. ข้อใดถูกต้อง
Previous
จบคำถาม