ข้อสอบโรงเรียนนายร้อยตำรวจ วิชาคณิตศาสตร์ ชุดที่ 9

จำนวนผู้เข้าชม: 70

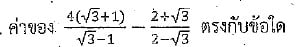
#1. ข้อใดถูกต้อง
Previous
ข้อต่อไป

#2. ข้อใดถูกต้อง
Previous
ข้อต่อไป

#3. ข้อใดถูกต้อง
Previous
ข้อต่อไป
#4. พรชัยขับรถได้ระยะทาง 826 กิโลเมตร เขาใช้เวลาขับรถ ในช่วงเข้า 3 ชั่วโมง 20 นาที ในช่วงบ่าย 4 ชั่วโมง และในช่วงกลางคืน 2 ชั่วโมง 40 นาที โดยในช่วงบ่ายเพิ่มอัตราเร็วมากกว่า ช่วงเช้า 15 กิโลเมตรต่อชั่วโมง และในช่วงกลางคืนลดอัตราเร็วลงน้อยกว่าช่วงบ่าย 9 กิโลเมตรต่อชั่วโมงแล้ว ในช่วงกลางคืนพรชัยขับรถได้ระยะทางกี่กิโลเมตร
Previous
ข้อต่อไป
#5. ลำดับฟิโบนักซี แบบรูปของจำนวนเป็นดังนี้ 1,1, 2,3,5,8,13, a,b,c,d,…. แล้ว d. – a มีค่าเท่ากับเท่าใด
Previous
ข้อต่อไป
#6. มีกล่องสำหรับบรรจุมะม่วง 3 ขนาด คือ ขนาดเล็กบรรจุได้ 24 ผล ขนาดกลางบรรจุได้ 32 ผล และขนาดใหญ่บรรจุได้ 40 ผล จำนวนมะม่วงอย่างน้อยที่สุด ซึ่งไม่ว่าจะเลือกกล่องขนาดใดก็ตามเพียงขนาดเดียวก็สามารถบรรจุมะม่วงจำนวนนี้ได้หนดพอดีตรงกับข้อใด
Previous
ข้อต่อไป
#7. จากการสำรวจค่าอาหารกลางวันของนักเรียนสองกลุ่ม กลุ่มแรกจำนวน 10 คนและกลุ่มที่สอง จำนวน 20 คน ได้ผลดังนี้
นักเรียนกลุ่มแรก ใช้เงินเฉลี่ยคนละ 28.50 บาท
นักเรียนกลุ่มที่สอง ใช้เงินเฉลี่ยจนละ 25.50 บาท
ค่าเฉลี่ยของค่าอาหารกลางวันของนักเรียนทั้งสองรลุ่นรวมกันตรงกับข้อใด
Previous
ข้อต่อไป
#8. การตรวจสอบอายุการใช้งานของแบตเตอรี่ยี่ห้อหนึ่งต่อ การชาร์ตไฟหนึ่งครั้งพบว่ามีการแจกแจงปกติ โดยมีค่าเฉลี่ยเลขคณิต 30 ชั่วโมง และส่วนเบี่ยงเบนมาตรฐานเท่ากับ 12 ชั่วโมง เปอร์เซ็นต์ของจำนวนแบตเตอรี่ที่มีอายุการใช้งานน้อยกว่า 56 ชั่วโมงตรงกับข้อใด
Previous
ข้อต่อไป

#9. การส่งออกสินค้าอาหาร สินค้าพลังงานและสินค้าเกษตร รวมกันเป็นร้อยละเท่าใดของสินค้าอุตสานกรรมและสินค้าอื่น ๆ รวมกัน
Previous
ข้อต่อไป
#10. กล่องใบหนึ่งบรรจุลูกปิงปองขนาดเท่ากัน โดยมีลูกปิงปอง สีแดง 10 ลูก สีขาว 5 ลูก สีเหลือง 2 ถูกและสีเขียว 3 ถูก สุ่มหยิบลูกปิงปองจากกล่องมา 1 ถูก ความน่าจะเป็นที่จะได้ลูกปิงปองสีขาวหรือสีเหลืองตรงกับข้อใด
Previous
ข้อต่อไป
#11. การขายสลากกาชาดเพื่อระดมทุน ผู้ขายจะขายสลากแบบ สุ่มตัวเลขตั้งแต่ 00 – 99 ซึ่งสลากมีราคาใบละ 100 บาท โดยมี รางวัลเป็นสร้อยทองคำราคา 6,000 บาท จำนวน 1 รางวัล ถ้าซื้อสลากจำนวน 1 ใบแล้วค่าคาดหมายที่จะได้เงินตรงกับข้อใด
Previous
ข้อต่อไป
#12. การะเกดมีเหรียญบาทและเหรียญห้าบาทในกระปุกออมสิน เมื่อหยิบเหรียญออกมานับพบว่ามีเหรียญบาทมากกว่าเหรียญห้าบาท อยู่ 20 เหรียญ โดยมีมูลต่ำไม่น้อยกว่า 260 บาท ถ้าการะเกตนำเหรียญบาทไปแลกเป็นเหรียญสิบบาท จะแลกได้อย่างน้อยที่สุดกี่เหรียญ
Previous
ข้อต่อไป
#13. กำหนด x³ + 2x² – 5x – 6 = 0 ถ้า a แทนผลบวกของคำตอบของสมการพหุนาม และ 6 แทนผลคูณของคำตอบของสมการพทุนาม แล้ว a – b มีคำตอบตรงกับข้อใด
Previous
ข้อต่อไป

#14. ข้อใดถูกต้อง
Previous
ข้อต่อไป
#15. ถังเก็บน้ำใบหนึ่งมีท่อจ่ายน้ำเข้าสองท่อ ท่อใหญ่จ่ายน้ำได้เร็วกว่าท่อเล็ก 15 นาที ถ้าเปิดสองท่อพร้อมกันใช้เวลา 10 นาที ถ้าเปิดท่อเล็กท่อเดียวต้องใช้เวลาเท่าใดน้ำจึงจะเต็มถัง
Previous
จบคำถาม